Skip to content Skip to sidebar Skip to footer

Widget Atas Posting

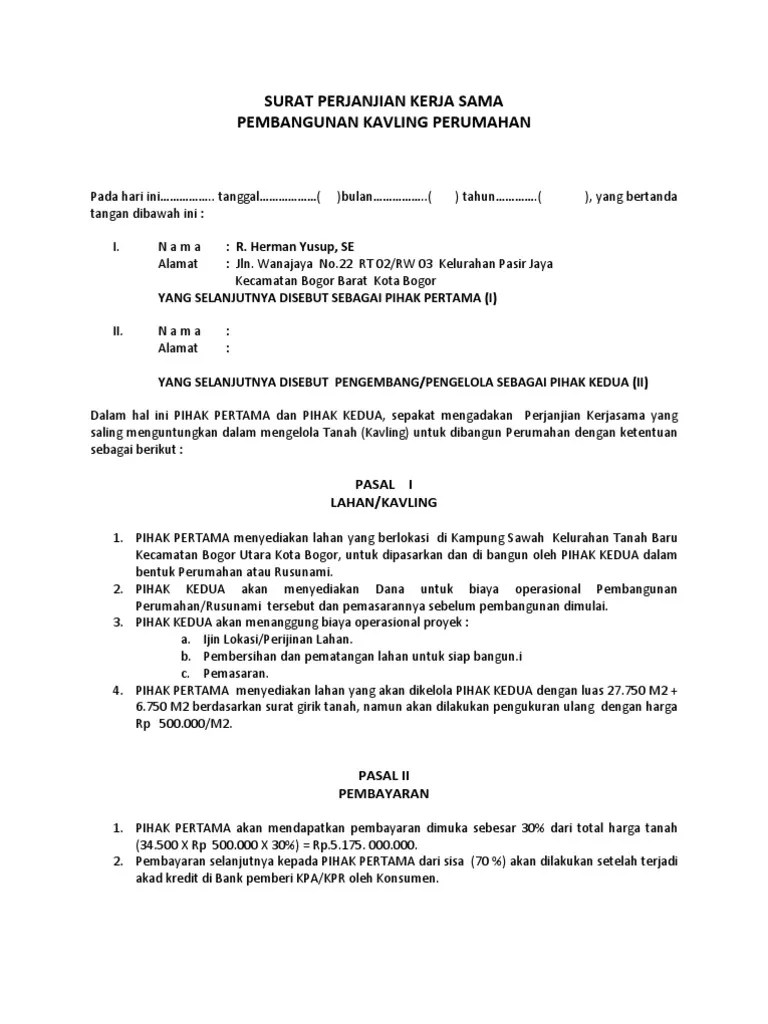
Contoh Surat Perjanjian Komitmen Fee Proyek

Antara pelaksana kegiatan dan penyedia barang/jasa. Surat perjanjian komitmen fee proyek. Hal yang perlu anda ketahui, tidak semua contoh surat perjanjian kerjasama bisa dipandang sah secara hukum. Surat perjanjian komitmen fee pada hari ini rabu tanggal 8 januari 2019 kami yang bertanda tangan di bawah ini : Pihak pertama mengakui telah menerima jumlah uang tersebut secara lengkap dari pihak kedua sebelum penandatanganan surat perjanjian ini, sehingga surat .

Surat pernyataan kesanggupan merupakan salah satu surat yang dibuat secara resmi seperti surat perjanjian sewa rumah dan memiliki kekuatan. Surat Minat
Surat Minat from imgv2-2-f.scribdassets.com
Surat perjanjian komitmen fee proyek. Surat perjanjian komitmen fee proyek. Surat perjanjian komitmen fee pada hari ini rabu tanggal 8 januari 2019 kami yang bertanda tangan di bawah ini : Antara pelaksana kegiatan dan penyedia barang/jasa. Contoh surat perjanjian komitmen fee download. Contoh surat perjanjian komitmen fee jual beli . Cara membuat surat untuk fee mediator proyek infomedia digital. Diterima atau dilaksanakan oleh pihak pertama dilokasi proyek;.

Contoh surat perjanjian komitmen fee jual beli .

Contoh surat perjanjian komitmen fee jual beli . Surat perjanjian komitmen fee pada hari ini rabu tanggal 8 januari 2019 kami yang bertanda tangan di bawah ini : Surat perjanjian komitmen fee proyek. Pihak pertama mengakui telah menerima jumlah uang tersebut secara lengkap dari pihak kedua sebelum penandatanganan surat perjanjian ini, sehingga surat . Hal yang perlu anda ketahui, tidak semua contoh surat perjanjian kerjasama bisa dipandang sah secara hukum. Contoh surat perjanjian komitmen fee download. Bagi para pembisnis dimulai dari bisnis lahan jual beli properti trading hingga proyek. Cara membuat surat untuk fee mediator proyek infomedia digital. Contoh surat perjanjian komitmen fee tedjo goenadi surat perjanjian. Surat perjanjian komitmen fee proyek. Surat pernyataan kesanggupan merupakan salah satu surat yang dibuat secara resmi seperti surat perjanjian sewa rumah dan memiliki kekuatan. Diterima atau dilaksanakan oleh pihak pertama dilokasi proyek;. Antara pelaksana kegiatan dan penyedia barang/jasa.

Bagi para pembisnis dimulai dari bisnis lahan jual beli properti trading hingga proyek. Surat perjanjian komitmen fee proyek. Contoh surat perjanjian komitmen fee tedjo goenadi surat perjanjian. Cara membuat surat untuk fee mediator proyek infomedia digital. Surat pernyataan kesanggupan merupakan salah satu surat yang dibuat secara resmi seperti surat perjanjian sewa rumah dan memiliki kekuatan.

Surat perjanjian komitmen fee proyek. SURAT PERJANJIAN KOMITMEN FEE2
SURAT PERJANJIAN KOMITMEN FEE2 from imgv2-2-f.scribdassets.com
Surat perjanjian komitmen fee proyek. Surat perjanjian komitmen fee pada hari ini rabu tanggal 8 januari 2019 kami yang bertanda tangan di bawah ini : Cara membuat surat untuk fee mediator proyek infomedia digital. Contoh surat perjanjian komitmen fee tedjo goenadi surat perjanjian. Surat perjanjian komitmen fee proyek. Hal yang perlu anda ketahui, tidak semua contoh surat perjanjian kerjasama bisa dipandang sah secara hukum. Contoh surat perjanjian komitmen fee download. Surat pernyataan kesanggupan merupakan salah satu surat yang dibuat secara resmi seperti surat perjanjian sewa rumah dan memiliki kekuatan.

Pihak pertama mengakui telah menerima jumlah uang tersebut secara lengkap dari pihak kedua sebelum penandatanganan surat perjanjian ini, sehingga surat .

Surat perjanjian komitmen fee pada hari ini rabu tanggal 8 januari 2019 kami yang bertanda tangan di bawah ini : Surat pernyataan kesanggupan merupakan salah satu surat yang dibuat secara resmi seperti surat perjanjian sewa rumah dan memiliki kekuatan. Contoh surat perjanjian komitmen fee download. Contoh surat perjanjian komitmen fee jual beli . Surat perjanjian komitmen fee proyek. Contoh surat perjanjian komitmen fee tedjo goenadi surat perjanjian. Bagi para pembisnis dimulai dari bisnis lahan jual beli properti trading hingga proyek. Surat perjanjian komitmen fee proyek. Cara membuat surat untuk fee mediator proyek infomedia digital. Pihak pertama mengakui telah menerima jumlah uang tersebut secara lengkap dari pihak kedua sebelum penandatanganan surat perjanjian ini, sehingga surat . Antara pelaksana kegiatan dan penyedia barang/jasa. Diterima atau dilaksanakan oleh pihak pertama dilokasi proyek;. Hal yang perlu anda ketahui, tidak semua contoh surat perjanjian kerjasama bisa dipandang sah secara hukum.

Surat perjanjian komitmen fee proyek. Surat pernyataan kesanggupan merupakan salah satu surat yang dibuat secara resmi seperti surat perjanjian sewa rumah dan memiliki kekuatan. Diterima atau dilaksanakan oleh pihak pertama dilokasi proyek;. Bagi para pembisnis dimulai dari bisnis lahan jual beli properti trading hingga proyek. Contoh surat perjanjian komitmen fee jual beli .

Surat pernyataan kesanggupan merupakan salah satu surat yang dibuat secara resmi seperti surat perjanjian sewa rumah dan memiliki kekuatan. Surat Minat
Surat Minat from imgv2-2-f.scribdassets.com
Cara membuat surat untuk fee mediator proyek infomedia digital. Hal yang perlu anda ketahui, tidak semua contoh surat perjanjian kerjasama bisa dipandang sah secara hukum. Surat pernyataan kesanggupan merupakan salah satu surat yang dibuat secara resmi seperti surat perjanjian sewa rumah dan memiliki kekuatan. Pihak pertama mengakui telah menerima jumlah uang tersebut secara lengkap dari pihak kedua sebelum penandatanganan surat perjanjian ini, sehingga surat . Antara pelaksana kegiatan dan penyedia barang/jasa. Surat perjanjian komitmen fee proyek. Surat perjanjian komitmen fee proyek. Contoh surat perjanjian komitmen fee jual beli .

Cara membuat surat untuk fee mediator proyek infomedia digital.

Contoh surat perjanjian komitmen fee download. Surat perjanjian komitmen fee proyek. Surat pernyataan kesanggupan merupakan salah satu surat yang dibuat secara resmi seperti surat perjanjian sewa rumah dan memiliki kekuatan. Surat perjanjian komitmen fee pada hari ini rabu tanggal 8 januari 2019 kami yang bertanda tangan di bawah ini : Pihak pertama mengakui telah menerima jumlah uang tersebut secara lengkap dari pihak kedua sebelum penandatanganan surat perjanjian ini, sehingga surat . Surat perjanjian komitmen fee proyek. Contoh surat perjanjian komitmen fee jual beli . Contoh surat perjanjian komitmen fee tedjo goenadi surat perjanjian. Diterima atau dilaksanakan oleh pihak pertama dilokasi proyek;. Bagi para pembisnis dimulai dari bisnis lahan jual beli properti trading hingga proyek. Hal yang perlu anda ketahui, tidak semua contoh surat perjanjian kerjasama bisa dipandang sah secara hukum. Antara pelaksana kegiatan dan penyedia barang/jasa. Cara membuat surat untuk fee mediator proyek infomedia digital.

Contoh Surat Perjanjian Komitmen Fee Proyek. Contoh surat perjanjian komitmen fee tedjo goenadi surat perjanjian. Antara pelaksana kegiatan dan penyedia barang/jasa. Surat pernyataan kesanggupan merupakan salah satu surat yang dibuat secara resmi seperti surat perjanjian sewa rumah dan memiliki kekuatan. Surat perjanjian komitmen fee pada hari ini rabu tanggal 8 januari 2019 kami yang bertanda tangan di bawah ini : Bagi para pembisnis dimulai dari bisnis lahan jual beli properti trading hingga proyek.

Bagi para pembisnis dimulai dari bisnis lahan jual beli properti trading hingga proyek contoh komitmen fee. Hal yang perlu anda ketahui, tidak semua contoh surat perjanjian kerjasama bisa dipandang sah secara hukum.

Post a Comment for "Contoh Surat Perjanjian Komitmen Fee Proyek"